Addition and Subtraction


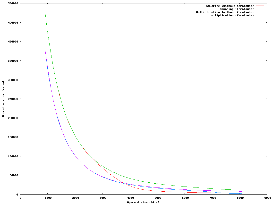
Multipliers


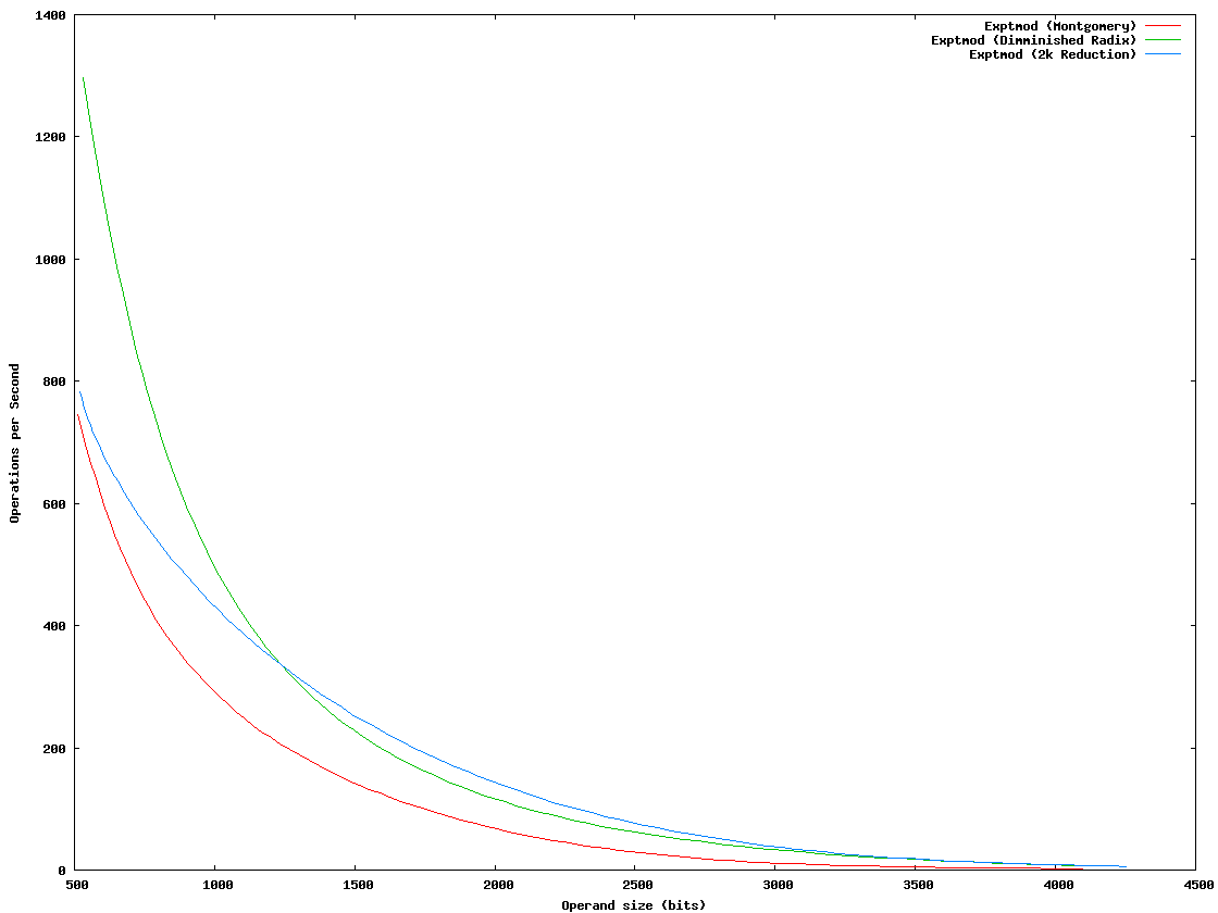
Exptmod


Modular Inverse


/* Source: /cvs/libtom/libtommath/logs/index.html,v */ /* Revision: 1.2 */ /* Date: 2005/05/05 14:38:47 */